library(tidyverse)
load("../data/news_tokens_pruned.Rdata")
news_tokens_pruned14 Тематическое моделирование c LDA
14.1 Что такое LDA
Тематическое моделирование — семейство методов обработки больших коллекций текстовых документов. Эти методы позволяют определить, к каким темам относится каждый документ и какие слова образуют каждую тему.
Одним из таких методов является Латентное размещение Дирихле (Latent Dirichlet Allocation, LDA). Это вероятностная модель, которая позволяет выявить заданное количество тем в корпусе. В основе метода лежит предположение о том, что каждый документ представляет собой комбинацию ограниченного числа топиков (тем), а каждый топик — это распределение вероятностей для слов. При этом, как и в естественном языке, документы могут перекрывать друг друга по темам, а темы — по словам. Например, слово «мяч» может быть связано не только со спортивным топиком, но и, например, с политическим («клятва в зале для игры в мяч»).
Создатели метода поясняют это на примере публикации из журнала Science.

На картинке голубым выделена тема «анализ данных»; розовым — «эволюционная биология», а желтым — «генетика». Если разметить все слова в тексте (за исключением «шумовых», таких как союзы, артикли и т.п.), то можно увидеть, что документ представляет собой сочетание нескольких тем. Цветные «окошки» слева — это распределение вероятностей для слов в теме. Гистограмма справа — это распределение вероятностей для тем в документе. Все документы в коллекции представляют собой сочетание одних и тех же тем — но в разной пропорции. Например, в этом примере почти нет зеленого «текстовыделителя», что хорошо видно на гистограмме.
Ассоциацию тем с документами, с одной стороны, и слов с темами, с другой, и рассчитывает алгоритм. При этом LDA относится к числу методов обучения без учителя (unsupervised), то есть не требует предварительной разметки корпуса: машина сама «находит» скрытые в корпусе темы и аннотирует каждый документ. Это делает метод востребованным в тех случаях, когда мы сами точно не знаем, что ищем — например, в исследованиях электронных архивов.
Сложность при построении модели обычно заключается в том, чтобы установить оптимальное число тем: для этого предлагались различные количественные метрики, но важнейшим условием является также интерпретируемость результата. Единственно правильного решения здесь нет: например, моделируя архив газетных публикаций, мы можем подобрать темы так, чтобы они примерно соответствовали рубрикам («спорт», «политика», «культура» и т.п.), но в некоторых случаях бывает полезно сделать zoom in, чтобы разглядеть отдельные сюжеты (например, «фигурное катание» и «баскетбол» в спортивной рубрике…)
14.2 Распределение Дирихле
Математические и статистические основания LDA достаточно хитроумны; общие принципы на русском языке хорошо изложены в статье “Как понять, о чем текст, не читая его” на сайте “Системный блок”, а лучшее объяснение на английском языке можно найти здесь и здесь.

Альфа и бета на этой схеме - гиперпараметры распределения Дирихле. Гиперпараметры регулируют распределения документов по темам и тем по словам. Наглядно это можно представить так (при числе тем > 3 треугольник превращается в n-мерный тетраэдр):

При α = 1 получается равномерное распределение: темы распределены равномерно (поэтому α называют “параметром концентрации”). При значениях α > 1 выборки начинают концентрироваться в центре треугольника, представляя собой равномерную смесь всех тем. При низких значениях альфа α < 1 большинство наблюдений находится в углах – скорее всего, в в этом случае в документах будет меньше смешения тем.
Распределение документов по топикам θ зависит от значения α; из θ выбирается конкретная тема Z. Аналогичным образом гиперпараметр β определяет связь тем со словами. Чем выше бета, тем с большим числом слов связаны темы. При меньших значениях беты темы меньше похожи друг на друга. Конкретное слово W “выбирается” из распределения слов φ в теме Z.

14.3 Подготовка данных
Чтобы понять возможности алгоритма, мы попробуем передать ему тот же новостной архив (ссылка для скачивания). На новостях сразу видно адекватность модели; но это не значит, что применение LDA ограничено подобными сюжетами. Этот метод с успехом применяется, например, в историко-научных или литературоведческих исследованиях. Он хорошо подходит, если необходимо на основе журнального архива описать развитие некоторой области знания. Но сейчас нам подойдет пример попроще 👶
Поскольку LDA – вероятностная модель, то на входе она принимает целые числа. В самом деле, не имеет смысла говорить о том, что некое распределение породило 0.5 слов или того меньше. Поэтому мы считаем абсолютную, а не относительную встречаемость – и не tf_idf.
news_counts <- news_tokens_pruned |> 
  count(token, id)
news_counts14.4 Матрица встречаемости
Для работы с LDA в R устанавливаем пакет topicmodels. На входе нужная нам функция этого пакета принимает такую структуру данных, как document-term matrix (dtm), которая используется для хранения сильно разреженных данных и происходит из популярного пакета для текст-майнинга tm.
Поэтому “тайдифицированный” текст придется для моделирования преобразовать в этот формат, а полученный результат вернуть в опрятный формат для визуализаций.
Для преобразования подготовленного корпуса в формат dtm воспользуемся возможностями пакета tidytext:
library(tidytext)
news_dtm <- news_counts |> 
  cast_dtm(id, term = token, value = n)
news_dtm<<DocumentTermMatrix (documents: 3407, terms: 6299)>>
Non-/sparse entries: 196774/21263919
Sparsity           : 99%
Maximal term length: 20
Weighting          : term frequency (tf)Убеждаемся, что почти все ячейки в нашей матрице – нули (99-процентная разреженность).
14.5 Оценка perplexity
Количество тем для модели LDA задается вручную. Здесь на помощь приходит функция perplexity() из topicmodels. Она показывает, насколько подогнанная модель не соответствует данным – поэтому чем значение меньше, тем лучше.
Подгоним сразу несколько моделей с разным количеством тем и посмотрим, какая из них покажет себя лучше. Чтобы ускорить дело, попробуем запараллелить вычисления.
library(topicmodels)
library(furrr)
plan(multisession, workers = 6)
n_topics <- c(2, 4, 8, 16, 32, 64)
news_lda_models <- n_topics  |> 
  future_map(topicmodels::LDA, x = news_dtm, 
      control = list(seed = 0211), .progress = TRUE)data_frame(k = n_topics,
           perplex = map_dbl(news_lda_models, perplexity))  |> 
  ggplot(aes(k, perplex)) +
  geom_point() +
  geom_line() +
  labs(title = "Оценка LDA модели",
       x = "Число топиков",
       y = "Perplexity")
Если верить графику, предпочтительны 32 темы или больше. Посмотрим, сколько тем задано редакторами вручную.
news_tokens_pruned |> 
  count(topic) |> 
  arrange(-n)14.6 Выбор числа тем с ldatuning
Еще одну возможность подобрать оптимальное число тем предлагает пакет ldatuning. Снова придется подождать.
#devtools::install_github("nikita-moor/ldatuning")
library(ldatuning)
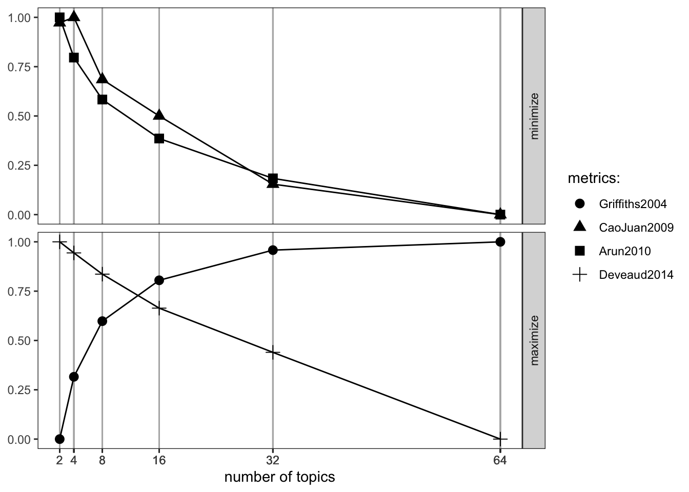
result <- FindTopicsNumber(
  news_dtm,
  topics = n_topics,
  metrics = c("Griffiths2004", "CaoJuan2009", "Arun2010", "Deveaud2014"),
  method = "Gibbs",
  control = list(seed = 05092024),
  verbose = TRUE
)resultFindTopicsNumber_plot(result)
Этот график тоже говорит о том, что модель требует не меньше 32 тем.
14.7 Модель LDA
news_lda <- topicmodels::LDA(news_dtm, k = 32, control = list(seed = 05092024))Теперь наша тематическая модель готова. Ее можно скачать в формате .Rdata отсюда; это примерно 2.5 Mb.
14.8 Слова и темы
Пакет tidytext дает возможность “тайдифицировать” объект lda с использованием разных методов. Метод β (“бета”) показывает связь топиков с отдельными словами.
news_topics <- tidy(news_lda, matrix = "beta")
news_topics |> 
  filter(term == "чай")  |>  
  arrange(-beta)Например, слово “чай” с большей вероятностью порождено темой 22, чем остальными темами 🍵
Посмотрим на главные термины в первых девяти топиках.
news_top_terms <- news_topics |> 
  filter(topic < 10) |> 
  group_by(topic) |> 
  arrange(-beta) |> 
  slice_head(n = 12) |> 
  ungroup()
news_top_termsnews_top_terms |> 
  mutate(term = reorder(term, beta)) |> 
  ggplot(aes(term, beta, fill = factor(topic))) +
  geom_col(show.legend = FALSE) + 
  facet_wrap(~ topic, scales = "free", ncol=3) +
  coord_flip()
14.9 Сравнение топиков
Сравним два топика по формуле: \(log_2\left(\frac{β_2}{β_1}\right)\). Если \(β_2\) в 2 раза больше \(β_1\), то логарифм будет равен 1; если наоборот, то -1. На всякий случай напомним: \(\frac{1}{2} = 2^{-1}\).
Для подсчетов снова придется трансформировать данные.
beta_wide <- news_topics |> 
  filter(topic %in% c(5, 7)) |> 
  mutate(topic = paste0("topic_", topic)) |> 
  pivot_wider(names_from = topic, values_from = beta) |> 
  filter(topic_5 > 0.001  | topic_7 > 0.001)  |> 
  mutate(log_ratio = log2(topic_7 / topic_5))
beta_wideНа графике выглядит понятнее:
beta_log_ratio <- beta_wide  |> 
  filter(!log_ratio %in% c(-Inf, Inf, 0)) |> 
  mutate(sign = case_when(log_ratio > 0 ~ "pos",
                          log_ratio < 0 ~ "neg"))  |> 
  select(-topic_5, -topic_7) |> 
  group_by(sign) |> 
  arrange(desc(abs(log_ratio))) |> 
  slice_head(n = 12)beta_log_ratio |> 
  ggplot(aes(reorder(term, log_ratio), log_ratio, fill = sign)) +
  geom_col(show.legend = FALSE) +
  xlab("термин") +
  ylab("log2 (beta_7 / beta_5)") +
  coord_flip()
14.10 Темы и документы
Распределение тем по документам хранит матрица gamma.
news_documents <- tidy(news_lda, matrix = "gamma")
news_documents |> 
  filter(topic == 1) |> 
  arrange(-gamma)Значение gamma можно понимать как долю слов в документе, происходящую из данного топика, при этом каждый документ в рамках LDA рассматривается как собрание всех тем. Значит, сумма всех гамм для текста должна быть равна единице. Проверим.
news_documents |> 
  group_by(document) |> 
  summarise(sum = sum(gamma))Все верно!
Теперь отберем несколько новостей и посмотрим, какие топики в них представлены.
long_news_id <- news_tokens_pruned  |> 
  group_by(id) |> 
  summarise(nwords = n()) |> 
  arrange(-nwords) |> 
  slice_head(n = 4) |> 
  pull(id)
long_news_id[1] "doc608"  "doc1670" "doc389"  "doc2200"news_documents |> 
  filter(document  %in%  long_news_id) |> 
  arrange(-gamma) |> 
  ggplot(aes(as.factor(topic), gamma, color = document)) + 
  geom_boxplot(show.legend = F) +
  facet_wrap(~document, nrow = 2) +
  xlab(NULL) 
14.11 Распределения вероятности для топиков
news_documents  |>  
  filter(topic < 10) |> 
  ggplot(aes(gamma, fill = as.factor(topic))) +
  geom_histogram(show.legend = F) +
  facet_wrap(~ topic, ncol = 3) + 
  scale_y_log10() +
  labs(title = "Распределение вероятностей для каждого топика",
       y = "Число документов")
Почти ни одна тема не распределена равномерно: гамма чаще всего принимает значения либо около нуля, либо в районе единицы.
14.12 Интерактивные визуализации
Более подробно изучить полученную модель можно при помощи интерактивной визуализации. Пакет LDAvis установим из репозитория.
devtools::install_github("cpsievert/LDAvis")Эта функция поможет преобразовать объект lda в файл json.
topicmodels2LDAvis <- function(x, ...){
  svd_tsne <- function(x) tsne(svd(x)$u)
  post <- topicmodels::posterior(x)
  if (ncol(post[["topics"]]) < 3) stop("The model must contain > 2 topics")
  mat <- x@wordassignments
  
  LDAvis::createJSON(
    phi = post[["terms"]], 
    theta = post[["topics"]],
    vocab = colnames(post[["terms"]]),
    doc.length = slam::row_sums(mat, na.rm = TRUE),
    term.frequency = slam::col_sums(mat, na.rm = TRUE),
    mds.method = svd_tsne,
    reorder.topics = FALSE
  )
}Интерактивная визуализация сохранится в отдельной папке.
library(LDAvis)
LDAvis::serVis(topicmodels2LDAvis(news_lda), out.dir = "ldavis")Это приложение можно опубликовать на GitHub Pages.
Об этом приложении см. здесь.
Значения лямбды, очень близкие к нулю, показывают термины, наиболее специфичные для выбранной темы. Это означает, что вы увидите термины, которые “важны” для данной конкретной темы, но не обязательно “важны” для всего корпуса.
Значения лямбды, близкие к единице, показывают те термины, которые имеют наибольшее соотношение между частотой терминов по данной теме и общей частотой терминов из корпуса.
Сами разработчики советуют выставлять значение лямбды в районе 0.6.